MPJD-ja, në kohën kur drejtohej nga Donika Gërvalla, kishte blerë 500 kopje të librit të Shkëlzen Gashit për 15 mijë euro

28 mars 2026 | 19:28

Në kohën kur Donika Gërvalla drejtonte Ministria e Punëve të Jashtme dhe Diasporës, ky institucion vendosi të shpenzojë gati 15 mijë euro për blerjen e 500 kopjeve të librit “Masakrat në Kosovë 1998-1999”, të autorit Shkëlzen Gashi.

Ministria e Punëve të Jashtme dhe Diasporës ka blerë 500 kopje të librit “Maskrat në Kosovë 1998-1999” i autorit Shkëlzen Gashi, drejtor i organizatës joqeveritare “Admovere”.

Kopjet e librave të kërkuara nga Ministria e Punëve të Jashtme janë të përkthyera në gjuhën angleze.

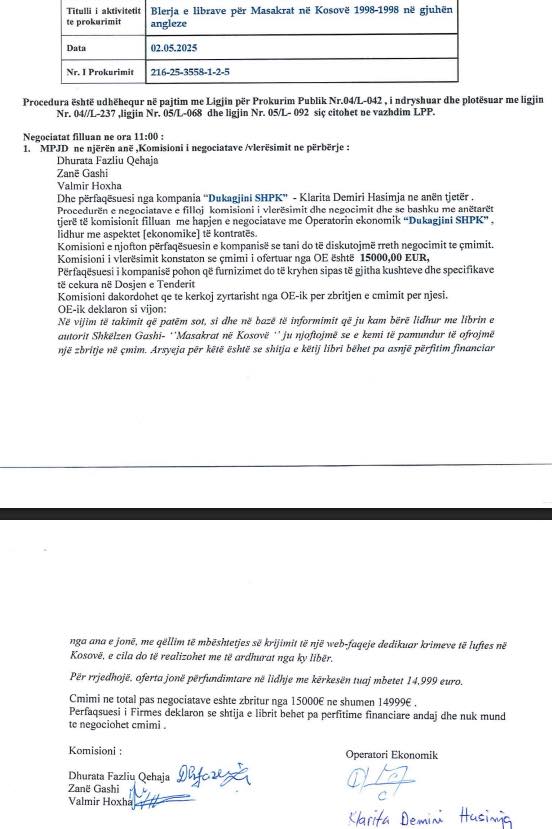
Ato janë blerë nga shtëpia botuese “Dukagjini” përmes një tenderi të negociuar pa publikim të njoftimit të kontratës të Ministrisë së Punëve të Jashtme dhe të Diasporës (MPJD).

Tenderi ka peshuar 14,999.00 euro, shkruan Demokracia.com.

Bazuar në njoftimin e MPJD-së në platformën shtetërore e-prokurimi, një komision vlerësimi i tenderit negocioi vetëm me kompaninë “Dukagjini” për blerjen e 500 kopjeve të librit.

Për këtë procedurë prokurimi, Ministria dedikoi një fond financiar prej 15,000.00 euro.

Gjatë negociatave mes anëtarëve të komisionit vlerësues dhe përfaqësuesit të shtëpisë botuese “Dukagjini”, palët arritën marrëveshje për zbritjen e çmimit për 1 euro – nga 15,000.00 në 14,999.00 euro.

Një zbritje më e madhe e çmimit është konsideruar e pamundur nga “Dukagjini”, e cila ka pohuar se shitja e librit bëhet pa asnjë përfitim financiar për kompaninë.

Përfaqësuesja e kompanisë, Klarita Demiri ka thënë se fitimet nga shitja e librit do të shkojnë në mbështetje të krijimit të një platforme dedikuar krimeve të luftës në Kosovë.

“Arsyeja për këtë është se shitja e këtij libri bëhet pa asnjë përfitim financiar nga ana e jonë, me qëllim të mbështetjes së krijimit të një web-faqeje dedikuar krimeve të luftes në Kosovë, e cila do të realizohet me të ardhurat nga ky libër”, citohet të ketë thënë përfaqësuesja e shtëpisë botuese “Dukagjini” në procesverbalin e negociatave.

Procesverbali i negociatave/ e-prokurimi

“Për rrjedhojë, oferta jonë përfundimtare në lidhje me kërkesën tuaj mbetet 14.999 euro. Çmimi ne total pas negociatave eshte zbritur nga 15000€ ne shumen 14999€”.

Sipas Dosjes së Tenderit për “blerjen e librave për masakrat në Kosovë 1998-1999 në gjuhën angleze”, MPJD ka caktuar si kriter “një numër të masakrave të dokumentuara nga forcat serbe kundër civilëve, kryesisht shqiptarë, në vitet 1998-1999”.

Libri “Masakrat në Kosovë 1998-1999” i autorit Shkëlzen Gashi është botuar nga organizatat joqeveritare “Admovere” dhe Integra” dhe ka dal nga shtypi në shtator të vitit të kaluar.

Ai është botuar në tri gjuhë: shqip, serbisht dhe anglisht.

Organizatat botuese kanë njoftuar po ashtu se mjetet nga shitja e librit do të përdoren për krijimin e uebsajtit për masakrat në Kosovë 1998-1999

Libri në fjalë, i botuar nga organizatat “Admovere” dhe “Integra”, pretendon të trajton dokumentimin e masakrave të kryera gjatë viteve 1998–1999, duke u mbështetur në burime vendore dhe ndërkombëtare, përfshirë organizata të të drejtave të njeriut dhe dokumente gjyqësore. Ai synon të shërbejë si mjet për informimin e opinionit ndërkombëtar, luftimin e mohimit të krimeve dhe ruajtjen e kujtesës historike.

Lajme të sponsorizuara

Të fundit
Sevdije Maxhuni B.I shpall te pavleshme certifikaten e biznesit me…